
北京精微高博仪器有限公司
白金会员
已认证

北京精微高博仪器有限公司
白金会员
已认证
从“瞬变”探“机理”:SSITKA 技术赋能催化反应深度研究
精微高博 2025/12/22 | 阅读:1359
产品配置单: 方案详情:
前言 SSITKA 被用于催化体系的研究,最直接的动力学参数是平均停留时间、表面中间体的量以及本征动力学速率常数,这些参数可用来计算活性位点的数量及分布,确定表面催化反应的途径,从而可以阐述催化反应机理,包括载体、促进剂、合金和失活的影响机制[1]。 二氧化碳作为温室气体,它不仅是气候变化的主要推手,还会加剧海洋酸化问题。目前,包括捕集储存技术、化学转化制备高附加值化学品等在内的多种技术方案,正被积极应用于控制大气中二氧化碳的浓度。其中,将二氧化碳通过化学转化制备甲醇的技术备受关注——这种产物既可作为液体燃料添加剂,又能作为甲醛、对苯二甲酸二甲酯、乙酸及碳氢化合物等其他化学品的原料。但对反应机理的研究是实现高甲醇产率和选择性的关键点。过去多个研究团队对这一课题进行了深入探讨,提出了参与甲醇合成反应的不同活性物种。在合成气混合物中,二氧化碳氢化反应最常讨论的活性位点包括:(1)通过氧化锌部分还原形成的表面铜-锌合金;(2)表面装饰有锌原子的金属铜台阶;(3)因结效应而活化的氧空位。也有学者将活性位点归因于铜-氧化锌界面,这一观点引发了关于氧化锌作用机制的学术讨论。Maxim Zabilskiy团队,通过SSITKA-FTIR 实验显示,在Cu-ZnO催化过程中 12CO2 → 13CO2切换中,甲酸盐是唯一可观测到的表面中间体(IR信号位于1596/1372 cm⁻¹)。明确了锌甲酸盐为关键中间体,Cu-ZnO界面为活性中心[2]。
图1 Cu-ZnO催化剂的 12CO2 → 13CO2的SSITKA-FTIR实验 乙烯是重要的有机化工原料,在PdCl和CuCl的催化下生成乙醛,在银催化剂下生成EO(环氧乙烷),由于原位表征的缺乏和活性位点认识不清,单原子氧Agx-O和双原子氧Ag-O-O-Ag均被提出为选择性氧化位点,L-H, E-R和MvK机理均有被提出,理海大学化学与生物分子工程学院Israel E Wachs教授团队应用原位拉曼和SSITKA联用技术,揭示了负载型Ag/α-Al2O3 催化剂乙烯氧化的活性位点和催化机理[3]。
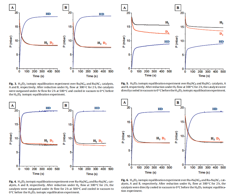
图2 C2= + 16O2 → 18O2 SSITKA实验 图2用AMI 200进行SSITKA 实验采集的质谱图,图2b, c所示,在C2= +16O2→18O2切换后,EO(环氧乙烷)和CO2产物迅速下降并在7分钟左右归零,这证明乙烯环氧化和完全氧化通过L-H机理进行,即需要吸附态的乙烯和Ag4-O2物种反应。切换为18O2后,产物C2H416O和C16O2逐步降低且信号逐渐趋零,C16O18O的信号却逐渐抬升,这说明在反应副产物CO2的生成中有晶格氧参与,遵循MvK机理。SSITKA实验证明银催化乙烯环氧化主要以L-H机理,完全氧化则同时有L-H和MvK机理进行。 氢与贵金属表面的相互作用是一种复杂现象,在氨合成等催化反应中可发挥重要作用。Francisco R. García-García和Daniel Duprez团队采用H2/D2同位素同分子交换法对四种不同催化表面进行表征,即Ru/AC0、Ru/AC1、Ru-Na/AC0和Ru-Na/AC1。直观地证实并深入表征了氢溢流现象:在“非脱气”条件下,对于未添加Na助剂的催化剂(Ru/AC₀,Ru/AC₁),观察到D₂的消耗量显著大于H₂(文中图5),表明表面存在额外的氢(H)参与了与D₂的交换。这证实了还原过程中发生了氢从Ru颗粒向碳载体(AC)的溢流,并且在交换反应中,这些溢流的氢可以反向迁移回Ru颗粒参与反应。助剂(Na)的“屏障”作用:在相同“非脱气”条件下,添加了Na助剂的催化剂(Ru-Na/AC₀, Ru-Na/AC₁) 则表现出H₂和D₂的消耗量相等(图6)。这表明Na的存在抑制了氢从Ru向碳载体的溢流。载体表面化学的影响:对比Ru/AC₀(含氧官能团多)和Ru/AC₁(经高温处理,含氧官能团少)发现,前者的D₂消耗差异更显著。说明碳载体表面的含氧官能团促进了氢的溢流和储存[4]。
图3-6 H2/D2切换SSITKA实验 实验方法 催化剂:Pd/Al2O3催化剂使用北京精微高博仪器有限公司的AMI 300 SSITKA仪器和Master 400质谱仪进行联用实验,预处理:50 ml/min的10% H2/Ar混气在300℃处理1h,然后再通入Ar吹扫30 min降温至155℃吹扫至基线平稳。SSITKA实验:流量50 ml/min,H2和D2为10 ml/min,Ar为40 ml/min,反应温度155℃,常压进行H2和D2的SSITKA。 结果与讨论
图7 Pd/Al2O3催化剂的H2-D2切换SSITKA实验 最初氘气预先吸附在催化剂表面。当氘气和氢气被切换进入床层后,已吸附的氘气和氢气发生同位素交换,随即观察到HD的生成。此时HD的生成量开始增长直至达到峰值,随后在短时间内迅速下降。当关闭氘气流并引入氢气流时,可观察到相反的过程。这与H. Backman的实验验证的实验结论也一致[5]。这也验证了H2/D2同位素交换反应机理。证实H2/D2在金属表面的吸附行为为第一种机制,即原子氢/氘和分子之间的交换时,H2和D2解离为H*和D*,进一步与H*和D*发生反应生成HD。这也揭示氢气在贵金属催化剂表面的吸附、解离和重组等基元步骤,这是所有涉及氢气的复杂催化反应(如加氢、脱氢)的基石。
图8 H2/D2交换机理A 而非图9所示的第二种机制(假设采用分子氢/氘进行吸附辅助解吸)被标记为机制B。D2分子与吸附的氢原子相互作用,从而增强它们的结合与解吸。
图9 H2/D2交换机理B 结论 通过将SSITKA技术应用于Pd/Al₂O₃催化剂的实验,观察到的HD信号生成动态过程(快速上升达峰后下降),在微观动力学层面证实了H₂/D₂交换遵循解离-重组机理。直观地揭示了氢气在贵金属催化剂上吸附、解离和重组的完整基元步骤,为更复杂的涉氢的加氢、脱氢催化反应机理提供了直接的实验依据。 SSITKA 与光谱联用SSITKA技术可以识别中间体的丰度及其动力学参数,其局限性是不能直接表征表面反应中间物的结构和直接监测其表面反应,而原位红外技术允许直接观察反应条件下的吸附物种。将SSITK与FTIR有机地结合起来,可正确表征表面中间物种,包括其化学结构和表面覆盖度,并可分辨吸附反应物种和非反应物种。下图10所示为北京精微高博仪器有限公司AMI-300 TKA原位红外表征仪器,可以做原位表征。
图10 AMI-300 TKA 原位表征 自20世纪70年代发明此项技术后它已经用于研究工业上许多不同和重要的化学反应机理。现今随着SSITKA与光谱技术的结合,可监测真实的表面中间体和反应机制。此外,SSITKA还可与其他方法如动力学建模、DFT等结合时,可以获得更多关于反应途径的信息。结合SSITKA和其他技术优势,在反应条件下获取尽可能多的信息,以阐明具有复杂化学反应的机理。 参考文献 [1]Ledesma, C.; Yang, J.; Chen, D.; Holmen, A. Recent Approaches in Mechanistic and Kinetic Studies of Catalytic Reactions Using SSITKA Technique. ACS Catal. 2014, 4,4527−4547 [2]Zabliskiy, M., Sushkevich, V. L., Palagin, D., Newton, M. A., Krumeich, F., & van Bokhoven, J. A. The unique interplay between copper and zinc during catalytic carbon dioxide hydrogenation to methanol. Nature Communications, NATURE COMMUNICATIONS : 2020, 11,2409 | [3]Tiancheng Pu, Adhika Setiawan, Revealing the Nature of Active Oxygen Species and Reaction Mechanism of Ethylene Epoxidation by Supported Ag/-Al2O3 Catalysts: ACS Catal. 2024, 14,406 [4] García-García, F. R., Bion, N., Duprez, D., Rodríguez-Ramos, I., & Guerrero-Ruiz, A. H₂/D₂ isotopic exchange: A tool to characterize complex hydrogen interaction with carbon-supported ruthenium catalysts. Catalysis Today:2015, 45–54 [5] H. Backman et al. Chemical Engineering Journal :2005,107,89–95
下载本篇解决方案:
相关产品 更多
相关方案 更多
XRD——解析锂电正极材料构效关系的“结构探针”
锂离子电池
2025-11-27
热分析技术在氟橡胶制品性能评估中的应用
热分析
2025-06-13
钨粉在硬质合金行业的应用
钨粉在硬质合金行业的应用
2024-12-06
氮化硅陶瓷粉体比表面积测试方法探究
氮化硅陶瓷粉体比表面积测试方法探究
2024-12-06
|
请拨打厂商400电话进行咨询
使用微信扫码拨号